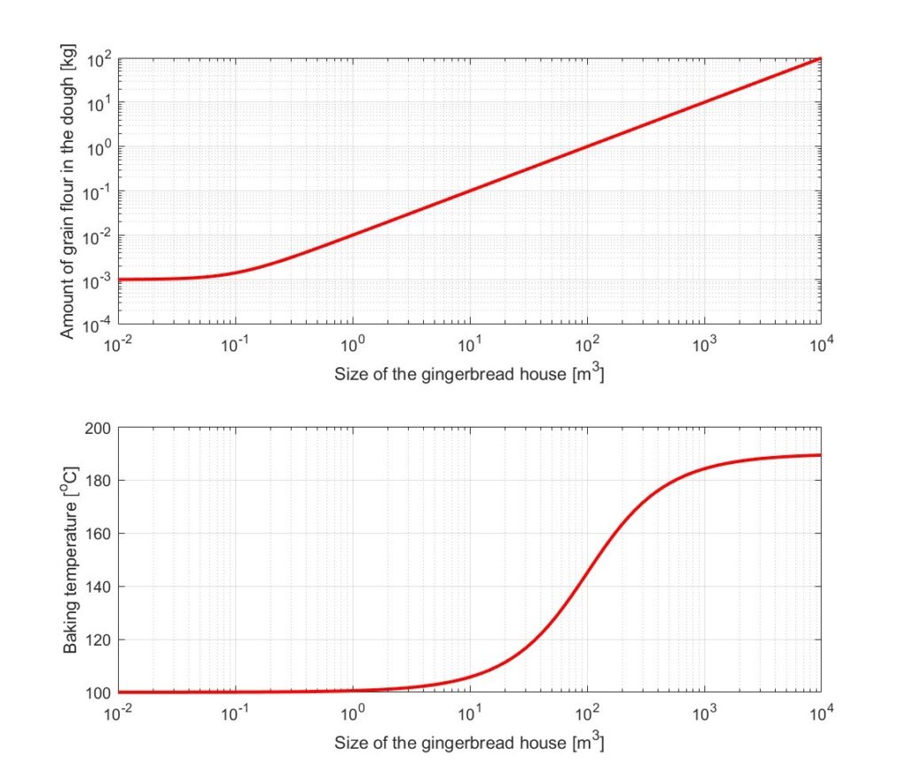
This year, Santa’s castle is abuzz with excitement as the elves enthusiastically participate in the inaugural Christmas Contest for Gingerbread House Baking. Each elf is putting forth their unique recipe for crafting this beloved sweet decoration. These recipes include specific guidelines on adjusting the amount of grain flour in the dough [in kilograms] and the baking temperature [in degrees Celsius] based on the gingerbread house’s size.
You have been bestowed with the honor and responsibility of serving as one of the judges. The wise words of your great-grandmother resound in your mind: “Never, ever bake a gingerbread house with less than 1 kg of grain flour in the dough at a temperature exceeding 180°C, as this would lead to instability and the house would collapse.” Inspired by her wisdom, you have chosen to assess each recipe based on two key quantitative criteria:
Grain Margin (GM): This adimensional number measures the extent to which one can uniformly decrease the amount of grain in the dough (“increase” for negative values of the GM) before instability sets in, causing the structure to collapse for a non-empty set of sizes of the gingerbread house. For example, GM = 3 indicates that as long as one uses more than one third the prescribed amount of grain, there are no sizes for which a gingerbread house would collapse. Conversely, a negative GM = -2 indicates that one should at least double the amount of grain prescribed by the recipe to be sure that the gingerbread house will be stable no matter the size.
Raise Margin (RM): This number expressed in °C evaluates how much one can uniformly increase the baking temperature (“decrease” for negative values of the RM) before instability occurs for some sizes of the gingerbread house. For example, RM = 10°C (RM = -10°C) indicates that one can increase (one must decrease) the temperature prescribed by the recipe by 10 degrees and not have some gingerbread houses collapse due to their size.
Given that Sugarplum Mary, affectionately known as “Mary Christmas” and Head of Sweet Treats, has put forth a recipe featuring the plots depicted in the accompanying figure, you are tasked with determining the corresponding grain and raise margins.

Which values are correct for the grain margin and the raise margin?
a. 🏠🟢🌾 GM = 5.7, RM = 35 °C (both positive, there is no size for which a gingerbread house would collapse)
b. 🏠⚠️🌾 GM = -5.7, RM = 35 °C (at least one negative, there are some sizes for which the gingerbread house would collapse)
c. 🏠🟢🔥 GM = 28.3, RM = 55 °C (both positive, there is no size for which a gingerbread house would collapse)
d. 🏠⚠️🔥 GM = -28.3, RM = 55 °C (at least one negative, there are some sizes for which the gingerbread house would collapse)
e. 🏠⚠️❄️ GM = 5.7, RM = -35 °C (at least one negative, there are some sizes for which the gingerbread house would collapse)
f. 🏚️❌❄️ GM = -5.7, RM = -35 °C (at least one negative, there are some sizes for which the gingerbread house would collapse)
g. 🏠⚠️🔥❄️ GM = 28.3, RM = -55 °C (at least one negative, there are some sizes for which the gingerbread house would collapse)
h. 🏚️❌💥 GM = -28.3, RM = -55 °C (at least one negative, there are some sizes for which the gingerbread house would collapse)
Related control theory topic: gain and phase margin